미국 세금 보고: 거주자 vs 비거주자 판단 및 실질적 거주 테스트 계산법

미국에서 세금 보고를 준비할 때, 가장 먼저 해야 할 일은 자신이 세법상 거주자인지 비거주자인지 판단하는 것입니다. 이 분류에 따라 신고해야 할 소득과 세금 납부 방식이 달라지기 때문에 매우 중요해요. 오늘은 거주자와 비거주자를 구분하는 방법과 **실질적 거주 테스트(Substantial Presence Test)**의 계산식을 자세히 알아보겠습니다.
1. 거주자(Resident)와 비거주자(Non-Resident)란?
거주자는 미국 내에서 대부분의 세금 의무를 지는 사람을 의미하며, 비거주자는 제한된 소득에 대해서만 세금을 납부하는 사람을 말합니다. 정확한 분류는 세금 신고 범위와 혜택을 결정짓는 중요한 요소입니다.
a. 거주자 기준
미국 세법에서는 두 가지 주요 기준을 통해 거주자 여부를 판단합니다:
1) 그린카드 테스트(Green Card Test)
- 그린카드 소지자는 미국 영주권자로 간주되며, 해당 연도 동안 자동으로 거주자로 분류됩니다.
- 그린카드가 유효한 한 계속해서 거주자로 유지됩니다.
2) 실질적 거주 테스트(Substantial Presence Test)
- 실질적 거주 테스트는 현재 연도와 이전 2년 동안 미국에 머문 일수를 기준으로 합니다.
- 계산 방법은 아래에서 자세히 설명할게요.
b. 비거주자 기준
그린카드도 없고, 실질적 거주 테스트를 통과하지 못한 경우 비거주자로 간주됩니다. 비거주자는 주로 미국 내에서 발생한 소득에 대해서만 세금을 신고하고 납부하면 됩니다.
2. 실질적 거주 테스트(Substantial Presence Test)란?
실질적 거주 테스트는 미국 내 체류 일수를 기반으로 세법상 거주자 여부를 판단하는 기준입니다. 이 테스트를 통과하면 해당 연도에 거주자로 간주되어 전 세계 소득을 신고해야 합니다.
실질적 거주 테스트 계산 수식

설명:
- D현재 연도: 현재 연도에 미국에 실제로 머문 일수
- D전년도: 전년도에 미국에 실제로 머문 일수
- D2년 전: 2년 전 연도에 미국에 실제로 머문 일수
결과 해석:
- 총일수 ≥ 183일: 해당 연도에 **거주자(Resident)**로 간주됩니다.
- 총일수 < 183일: **비거주자(Non-Resident)**로 간주됩니다. 단, 특정 예외 사항이 적용될 수 있습니다.
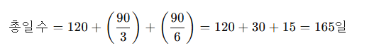
예시 계산:
예를 들어, 어떤 사람이 다음과 같은 기간 동안 미국에 체류했다고 가정해 보겠습니다.
- 현재 연도: 120일
- 전년도: 90일
- 2년 전: 90일
이 경우, 실질적 거주 테스트는 다음과 같이 계산됩니다.

총일수가 183일 미만이므로, 이 사람은 해당 연도에 **비거주자(Non-Resident)**로 간주됩니다.
3. F 비자 소지자의 특수 규정
F 비자(F-1 비자) 소지자는 미국 세법상 특별한 규정을 적용받습니다. 주로 학생들이 사용하는 비자로, 다음과 같은 혜택이 있습니다.
비거주자 상태 유지 기간
- F-1 비자 소지자는 처음 5년 동안 비거주자로 간주됩니다. 이 기간 동안에는 실질적 거주 테스트에 영향을 받지 않아, 체류 일수가 많아도 비거주자로 유지됩니다.
6년차부터 실질적 거주 테스트 적용
- 6년차부터는 일반적인 실질적 거주 테스트가 적용됩니다. 5년 동안의 비거주자 기간이 끝난 후, 매년 체류 일수를 기준으로 거주자 여부를 판단하게 됩니다.
비거주자에서 거주자로 전환 시 고려사항
- 5년이 지난 후에도 실질적 거주 테스트를 통과하면 거주자로 분류되어 전 세계 소득을 신고해야 합니다.
- 세법상 거주자가 되면 다양한 세금 혜택을 받을 수 있지만, 반대로 더 많은 소득에 대해 세금을 납부해야 할 수도 있습니다.
4. 비거주자 예외 사항
특정 조건을 만족하는 경우, 실질적 거주 테스트에서 제외될 수 있습니다. 대표적인 예로는:
- 학생 비자(F-1) 소지자
- J-1, M-1 등 다른 특정 비이민 비자 소지자
- 외교관, 국제 기구 직원 등 특정 직업군
이러한 경우, 체류 기간과 비자 유형에 따라 추가적인 예외 규정이 적용될 수 있으니, 자세한 내용은 IRS 공식 웹사이트를 참고하시기 바랍니다.
5. 요약
- 거주자와 비거주자의 구분은 미국 세금 신고의 기본입니다.
- 그린카드 테스트와 실질적 거주 테스트를 통해 거주자 여부를 판단합니다.
- 실질적 거주 테스트는 현재 연도와 이전 2년의 체류 일수를 기준으로 계산되며, 183일 이상이면 거주자로 간주됩니다.
- F 비자(F-1 비자) 소지자는 처음 5년 동안 자동으로 비거주자로 유지되며, 6년차부터는 일반적인 실질적 거주 테스트가 적용됩니다.
- 특정 조건에 해당하면, 실질적 거주 테스트에서 제외될 수 있는 예외 사항이 존재합니다.
미국에서의 세금 신고는 복잡할 수 있지만, 거주자 여부를 정확히 이해하고 계산법을 숙지하면 보다 효율적으로 준비할 수 있습니다. 세금 신고와 관련된 더 궁금한 점이 있다면 댓글로 남겨주세요! 여러분의 세금 신고가 순조롭게 진행되길 바랍니다. 👍
'미국_NY > 미국 이민 관련 팁정리' 카테고리의 다른 글
| 뉴욕 치폴레(Chipotle)에서 주문하는 방법과 할인 팁! (4) | 2025.02.08 |
|---|---|
| 2025년 미국 세금 신고 가이드: 표준공제와 주요 공제 항목 완벽 정리 (1) | 2025.01.18 |
| 미국 세금 보고 준비 가이드: 거주자 확인부터 신고 방법까지 (0) | 2025.01.14 |
| 미국 내 신종 사기들 (0) | 2025.01.03 |
| 뉴욕 들어만 가도 최소 50불 지출 (0) | 2024.05.21 |
댓글